AgGaS2(AGS)是一种常用的商业化红外非线性光学晶体,具有较强的二阶倍频系数(dij = 11 pm/V)和适中的双折射率(Δn = 0.034)。经过深入研究,我们发现AGS的性能存在一些不足,主要是由于化合物中Ag+离子具有中温快离子特性。具体问题如下:1)Ag+离子具有4d10电子构型,易与5sp轨道杂化,从而缩小了带隙(Eg = 2.58 eV),并进一步降低了激光损伤阈值(LIDT);2)虽然Ag+离子对晶体结构的形成具有重要贡献,但其对dij的直接贡献较小,可忽略不计;3)Ag-S键具有部分共价键特性,中低温下容易断裂,从而导致材料的热稳定性差,使得AGS的热膨胀系数较高;4)Ag-S的部分共价键特性还降低了费米能级附近硫原子的非键轨道密度,这不利于dij的提高。

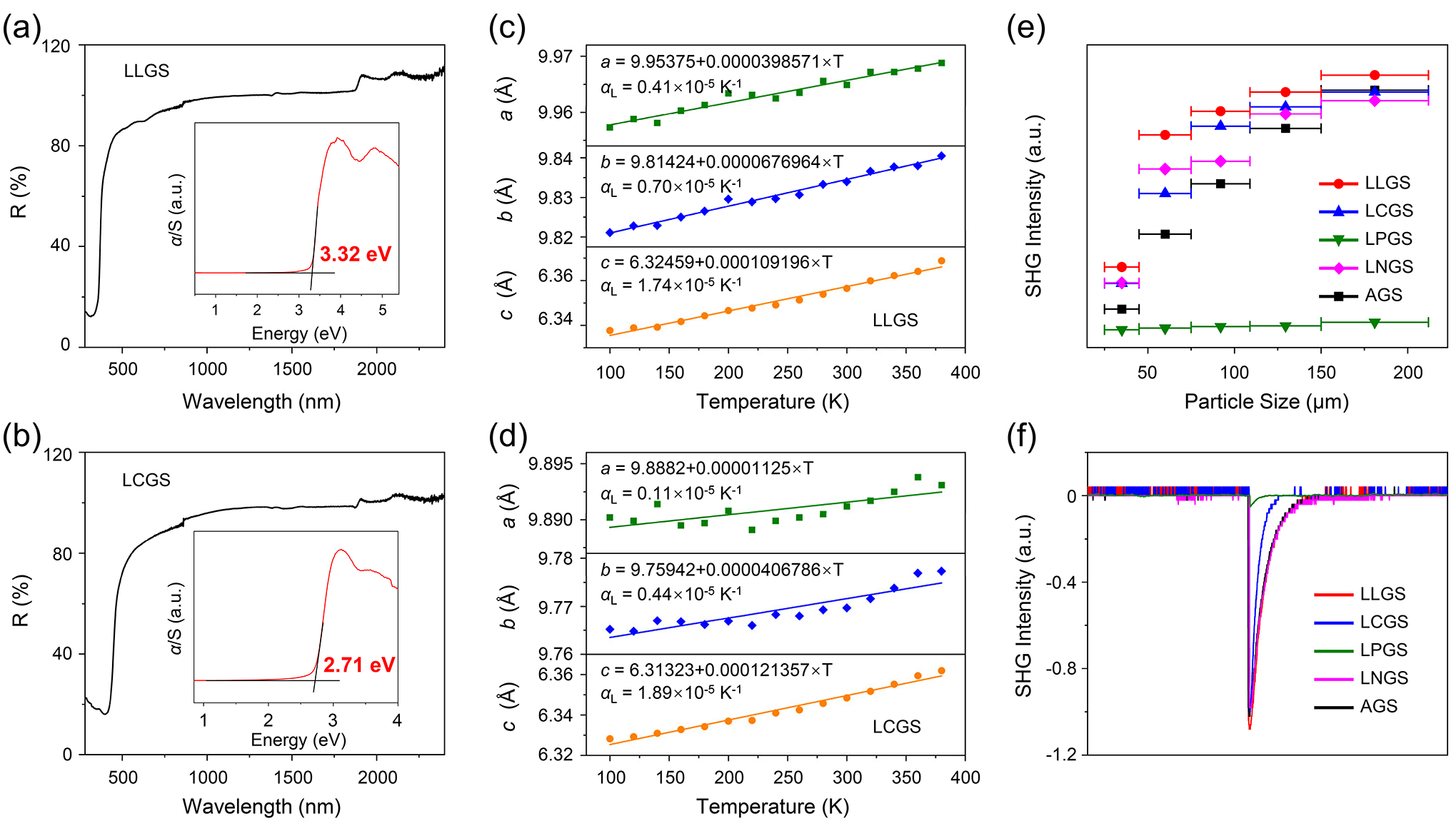
针对上述科学问题,我们课题组提出“能带工程改造AGS”策略,旨在主动修饰AGS的能带结构,实现以下三个目标:首先,增加带隙;其次,解决Ag-S键易断裂的问题,提高化合物稳定性,减缓热膨胀行为;最后,增加费米能级附近S非键轨道的贡献,从而增强SHG。基于该策略,采用我们课题组2004年提出的硼硫化法(J. Am. Chem. Soc. 2004, 126, 4676-4681;J. Am. Chem. Soc. 2021, 143, 18490–18501),成功获得了四例新型镧系硫化物LiLnGeS4 (Ln = La−Nd)。对LiLaGeS4(LLGS)的研究表明,通过(Li+ + La3+)组合完全取代Ag+离子,一方面消除了Ag-4d轨道在能带结构中对带隙的负面影响,使得化合物带隙增大到3.32 eV,从而增强了LIDT(14−29 × AGS);另一方面,由于La/Li的电负性低于Ag,La-S/Li-S键的离子性比Ag-S键更强,这有助于增加S-3p非键轨道的态密度,从而实现了dij的增强(SHG = 1.06 × AGS)。此外,由于LLGS不含Ag元素,如预期般,其热膨胀行为极小(沿a、b、c轴,线热膨胀系数分别为αL = 0.41、0.70、1.74 × 10-5 K-1),比AGS降低了近一个数量级。同时,[LiS4]、[GeS4]和[LaS8]结构单元间的键长差异还赋予材料具有较大的结构各向异性,从而产生适中的双折射(Δn = 0.052),这一特性有助于材料实现SHG相位匹配。

该研究近期以“LiLnGeS4 (Ln = La–Nd):Designing High Performance Infrared Nonlinear Optical Sulfides through “Band Reformation of AGS””为题,在《Angewandte Chemie International Edition》上发表,DOI:10.1002/anie.202408551。琉璃神社 、珠海先进材料研究中心为该工作第一完成单位,通讯作者为吴立明教授和陈玲教授。感谢中国科学院理化技术研究所林哲帅老师提供CASTEP理论计算方法。感谢国家自然科学基金、北师大高层次引进人才基金、琉璃神社 、琉璃神社 珠海自然高等研究院、北京市重点实验室等的大力资助与支持。