卤素(氯、溴和碘)在大气中普遍存在,并对大气的化学成分产生显著影响,进而影响污染物的命运并可能对气候产生影响。非均相化学已成为卤素化学中的一个关键过程。N2O5激活卤素的过程尤其重要,这与NOx的来源、臭氧浓度、NO3的均相反应性以及含卤化物气溶胶颗粒的可获得性有关。例如,测量结果显示,氯化物对(NO2+)(NO3-)的攻击效率比水攻击高出约500倍,导致ClNO2的大量产生。与此形成鲜明对比的是,迄今为止还没有关于BrNO2或INO2的原位观测报告。不幸的是,尽管其重要性,但由于气溶胶化学环境的复杂性,N2O5-X-化学反应的详细机制仍然缺乏。
在前期工作中,琉璃神社 朱重钦教授、方维海院士课题组发展了基于元动力学的高效自由能计算方法,提出了水体系化学反应的化学计算模拟方法,并研究了一系列水微滴中的化学反应。基于此,课题组研究了N2O5···X-体系在气-水界面的化学反应,采用第一性原理分子动力学(AIMD),并结合分步多子相空间元动力学方法(SMS-MetaD)方法,揭示了N2O5与X-在空气-水界面的反应有两种不同的反应机制:1、X- 与N2O5中N原子相互作用,通过SN2反应机制生成XNO2;2、X-与N2O5端基氧直接相互作用,生成XONO。通过比较两种机制的反应自由能剖面,发现在Cl-体系中,生成ClNO2的路径更为有利,而在Br-和I-体系中,生成BrONO和IONO的路径几乎是无能垒的,是主要产物。除此之外,本研究也对从XNO2和XONO生成X2的反应机制进行了探究,反应的高能垒和产物相对于反应物的高自由能表明ClNO2在空气-水界面上是稳定的,与传统看法相反,该计算表明,BrONO和IONO最初形成稳定的BrONO··Br-和IONO··I-配合物,然后分别与Br-和I-反应生成Br3-和I3-,最后,Br3-和I3-分解生成Br2和I2。这些发现对实验解释具有重要意义,对大气中无法直接观测到BrNO2和INO2提供了新的理论支持,也为大气中卤素循环提供了新的见解。
相关研究工作以“Mechanistic Insights into N2O5-halide Ions Chemistry at the Air-water Interface”为题,发表在《Journal of the American Chemical Society》(//pubs.acs.org/doi/10.1021/jacs.4c05850)。琉璃神社 是该工作的第一单位;琉璃神社 博士后唐博和硕士生白琪为论文的共同第一作者;宾夕法尼亚大学Joseph S. Francisco教授和琉璃神社 朱重钦教授为该工作的共同通讯作者。

图1. 海盐气溶胶表面N2O5···X−体系的化学反应示意图。

图2. N2O5···X-在水气界面生成XNO2 (a)和XONO (b)的代表性快照和自由能剖面图(c, d, e)

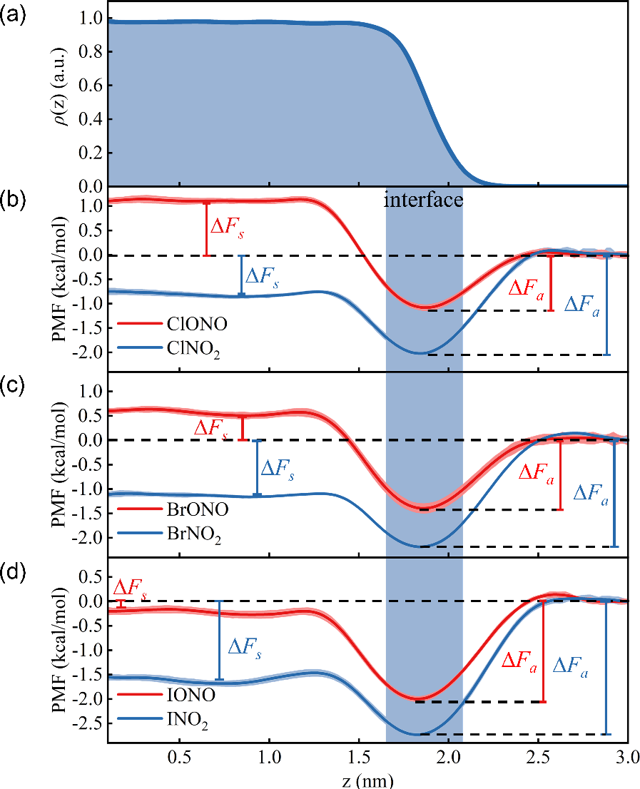
图3. ClONO/ClNO2 (b) , BrONO/BrNO2 (c) , IONO/INO2 (d) 从体相穿过水气界面到气相的自由能剖面图。

图4. XNO2 (a) 和XONO (b) 与X-在水气界面反应生成 X2 的代表性快照和自由能剖面图 (c, d, e)。

图5. XNO2 (a) 和XONO (b) 与X−在水气界面反应生成X3-的代表性快照和自由能剖面图 (c, d, e)。

图6. X3-在水气界面反应生成X2的代表性快照 (a) 和自由能剖面图 (c, d, e)。