热电材料能够直接实现电能和热能的互相转化,是当前能源相关材料研究领域的热点之一。目前商用热电材料性能(ZT)偏低,导致热电技术的转换效率偏低。由于材料载流子迁移率与能带谷简并度(Nv)之间具有相对独立的关系,多能带收敛(多能带能量对齐)可以在不显著削弱电导率的前提下有效增强塞贝克系数。因此,如能实现多能带(如L带、 Λ带和Σ带)能量对齐,可通过简并度提升实现功率因子(PF) 提高。然而当不同的能带存在较大能量失配时,处于较低能量位置的能带(Λ带)难以参与电输运,因此,能否有效激活额外的参与电输运的能带, 是极具挑战性的研究工作。另一方面,材料热输运()性能的的优化则聚焦于微结构和缺陷的调控。通过相分离或者调幅分解原位析出纳米相是一种抑制热导率的有效策略。热电材料充当基体,分散其中的析出相可以作为有效的声子散射中心,强烈阻碍热流的输运。然而,大尺寸析出相不仅会造成热短路而且会降低载流子迁移率,抑制ZT的净增长。
针对上述关键科学问题,琉璃神社 吴立明教授和陈玲教授课题组选取具有双价带电输运特征的SnTe为研究对象,通过MnCdTe2合金化策略激活了SnTe低能量位置的价带,首次实现SnTe体系三价带协同的电输运;进一步通过合理的固溶度调控,细化了析出相尺寸,最终实现热输运与电输运的协同优化。

图1 复合结构解耦SnTe材料的热电参数
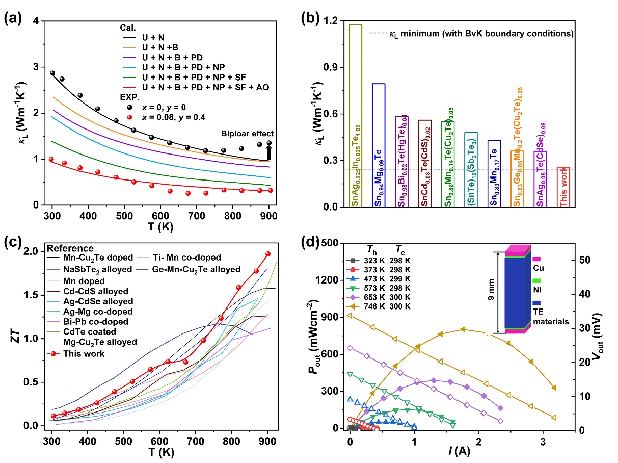
本研究工作首次揭示了MnCdTe2合金化可以有效激活 SnTe中简并度更高的Λ价带(NV = 8),同时优化了L带和Σ带的能量位置,促成了三价带协同电输运;同时价带扁平化和带隙增大,以上效应显著提高了Seebeck系数。通过进一步掺杂Ge,L带和Λ带之间的能量位置对齐,提升了室温Seebeck系数。第一性原理计算结合紫外光电子能谱测试结果,揭示并互相印证了这一能带演变过程。这种价带结构的优化允许载流子在更多的传导通道中传输,从而增强了加权迁移率,大幅提升了功率因子(PF), 900 K下达到29.3 μWcm-1K-2。
背散射电子源微结构分析(BSE和EBSD)表明:当MnCdTe2含量超过其固溶度极限,复合结构将会发生调幅分解,随即在SnTe基体中形成高密度的嵌入型三角形析出相。进一步引入Ge,Mn和Cd在SnTe基体中的固溶度得到提高,MnCdTe2析出相尺寸发生明显细化,沉淀相的统计平均尺寸从无Ge样品的2.82 μm显著降低到含Ge样品的0.22 μm,减小了约一个数量级。高角环形暗场扫描透射(HAADF-STEM)图像分析显示,(SnTe)0.92(MnCd0.6Ge0.4Te2)0.08材料中存在多尺度异质纳米结构和低维缺陷,内生的堆垛层错和纳米孪晶显著提升了这些析出相对载热声子的散射强度。此外,由于MnCdTe2析出相内部广泛存在着二维缺陷,且与SnTe基体具有不同的力常数,因此MnCdTe2析出相内部广泛存在晶格应力集中。这种特点与传统的纳米复合物显著不同,在传统的纳米复合材料的应力集中只存在于界面处。所得的(SnTe)0.92(MnCd0.6Ge0.4Te2)0.08材料中点缺陷、堆垛层错,纳米孪晶、多尺度析出相以及介观尺度的晶粒共同构成了全尺度声子散射中心,形成对声子的全谱散射。此外,DFT声子谱计算表明Cd引起的低频光学模与载热声子强烈耦合,有效增强了三声子散射相空间体积并本征地缩短了声子寿命。以上协同效应使得(SnTe)0.92(MnCd0.6Ge0.4Te2)0.08材料地晶格热导率在全温区均得到优化,例如,在670 K时晶格热导率仅为0.26 Wm-1K-1,该数值已经低于SnTe的非晶极限值 (~ 0.4 Wm-1K-1)。
(SnTe)0.92(MnCd0.6Ge0.4Te2)0.08的能带结构得到合理优化,微结构实现精细调控,实现了电输运性能与热输运性能的协同优化,在900 K的ZT值约为1.97,是截止报道时间该体系的最高值。利用材料制作的单壁热电器件在温差446 K时,输出功率密度较高(800 mWcm-2)。

图2 SnTe基材料热电性能表征与制得的单臂器件的输出功率密度
该工作近期以“Rare three-valence-band convergence leading to ultrahigh thermoelectric performance in all-scale hierarchical cubic SnTe”为题,被《Energy & Environmental Science》接收发表。Energy & Environmental Science是能源环境领域的世界顶级学术期刊,最新影响因子32.5。琉璃神社 、珠海先进材料研究中心为该工作第一完成单位,通讯作者为陈玲教授、武海军教授和吴立明教授, 2020级博士生李凡为第一作者。该研究得到国家重点研发计划重点专项、国家自然科学基金、琉璃神社 、琉璃神社 珠海自然高等研究院、北京市重点实验室、西安交通大学等资金的大力资助。武海军教授帮助进行TEM结构表征,数据分析以及相关讨论,特此感谢。
原文链接:“Rare three-valence-band convergence leading to ultrahigh thermoelectric performance in all-scale hierarchical cubic SnTe”F. Li, X. Liu, S. Li, X. Zhang, N. Ma, X. Li , X. Lin, L. Chen, H. Wu and L. Wu, Energy Environ. Sci., 2023, DOI: 10.1039/D3EE02482B。